1 Alpek en retroceso del 38.2% de fibonacci.Análisis técnico de Alpek: Con su onda de Wolfe alcista, se vió frenada en la media móvil de 200 días. De ahí inició la toma de utilidades que la ha conducido al nivel de la media simple de 50 días, que coincide con un retroceso del 38.2% de fibonacci. La vela de Heiken Ashi es roja. Hay que esperar a ver si hay rechazo en este nivel o si llega hasta el retroceso del 50%. ![]() 2 KOF, retrocediendo hasta la media de 200 días.Análisis técnico de KOF: El ajuste en KOF ha llevado al precio a la zona de la media simple de 200 días, muy cercano al 61.8% de retroceso de fibonacci. Si hay rechazo en esta zona, sería compra. ![]() 3 BSMX en buscando la parte alta de la cuña semanal.Análisis técnico de BSMX: Está encaminada a la parte alta de la cuña semanal. Ya superó la media de 50 semanas que está en esta zona, coincidente con el 38.2% de la proyección de alza. La parte alta de la cuña mencionada coincide con el 50% de la proyección. Aparentemente hoy reporta. ![]() 4 GFNORTE, rechazo en la MM de 50 semanas.Análisis técnico de GFNORTE: Aunque la onda de Wolfe no es muy ortodoxa, permitió hacer trade. Una vez activada el precio llegó a la media simple de 50 semanas, y ahora ha ajustado un poco, poniéndose debajo de la media de 200 semanas. La posición fue vendida y sería recompra una vez que supere la MM50, o conforme se vea un final a este posible ajuste en gráfica diaria. ![]() 5 Autlan, el bunker hizo su trabajo.Análisis técnico de Autlan: Hace unos días se observó un bunker de resistencias en Autlan, el cual se hizo valer y rebotó al precio. Aunque está la formación semanal de onda de Wolfe, no se ha podido activar dado que el 23.6% de la proyección de alza y la línea de entrada 1-3 son coincidentes, y no han sido superados. A esperar que respete el mínimo anterior. ![]() ¿Tienes alguna duda o comentario? Opina abajo en la sección de comentarios. Autor:bernardo_bmv |
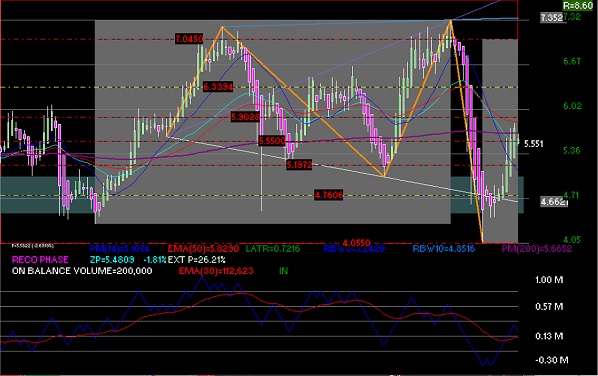
5 observaciones de análisis técnico. (05/02/2019) | 5 observaciones de análisis técnico. (29/01/2019)
Seguimiento a emisoras, enero del 2019
Seguimiento a emisoras
